Proof Of Debt Form Malaysia : Top 11 Proof Of Debt Form Templates free to download in ... : (rule 91 companies (winding up) rules 1972)

Proof Of Debt Form Malaysia : Top 11 Proof Of Debt Form Templates free to download in ... : (rule 91 companies (winding up) rules 1972). A debt may be proved in a compulsory winding up by delivering or sending through the post to the official receiver this proof of debt form and accompanied by a filing fee of hkd35.00. For more information and source, see on this link : Proof of debt general form. He or she will charge a fee for this service. So based on that, what we've done here is a general guide on how proof of debt forms are usually filled.

Debt hereinafter deposed to was incurred and for the consideration stated, and that such debt, to the best of my knowledge and belief, still remains unpaid and unsatisfied. Employees may submit a proof of debt form to the liquidator to claim the amount due if there is surplus from the estate of the company to cover the employees' salary. Sample proof of debt general form malaysia. Proof of debt general form. Under the insolvency, restructuring and dissolution act regulations, the type of proof of debt form that a creditor may have to fill in depends on the type of winding up a company is going through.

Sri Lankan Passport Application Form Filling Instructions ...
Sri Lankan Passport Application Form Filling Instructions ... from www.pdffiller.com
So based on that, what we've done here is a general guide on how proof of debt forms are usually filled. There is no prescribed form for notice of meeting of creditors pursuant to section 260 of the companies act and, as such, any suitable form may be used. A formal proof of debt form. (b) that i am duly authorized, under the seal of the company hereinafter named to make proof of debt on its behalf. Form 55 (rules 7378) proof of debt/general form (title same as in form 2) i, (fill in full name and occupation of deponent) of (fill in address of deponent) make oath and say: Sample proof of debt form malaysia. Proof of debt general form. Employees may submit a proof of debt form to the liquidator to claim the amount due if there is surplus from the estate of the company to cover the employees' salary.

Employees may submit a proof of debt form to the liquidator to claim the amount due if there is surplus from the estate of the company to cover the employees' salary.

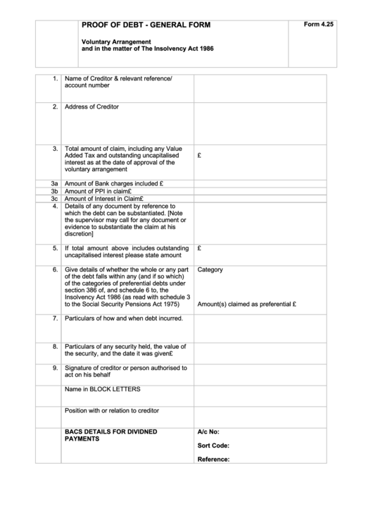
Form 55 (rules 7378) proof of debt/general form (title same as in form 2) i, (fill in full name and occupation of deponent) of (fill in address of deponent) make oath and say: Usually, when a company sends a proof of debt form, they'll usually include information on what to fill in the document itself. Further information on the interim distribution can be found on the website. 26 07 2010 8 37 am hi ka long you are supposed to get the dept of proof form signed in front of a commissioner of oath and this commisioner of oath will then sign and chop the form. No filing fee will be payable for any claim of debt not exceeding hkd250.00 or for employees' claim. (a) that i am in the. So for a document to be accepted in court it must be attest by a commissioner for oath (persuruhjaya sumpah malaysia) or a notary public if the person is based outside of malaysia and this a court of law requirement. He or she will charge a fee for this service. When must you file the proof of debt? The notice of meeting of creditors should clearly state the object and purpose of the meeting and at the foot of the notice of meeting should Fill & sign online, print, email, fax, or download. Statutory declaration as to proof of debt: For more information and source, see on this link :

Further information on the interim distribution can be found on the website. A proof of debt may be made by the creditor himself or by a. (b) that i am duly authorized, under the seal of the company hereinafter named to make proof of debt on its behalf. Preparing the proof of debt form. So based on that, what we've done here is a general guide on how proof of debt forms are usually filled.

Proof of Claim Form | Bankruptcy In The United States | Debt
Proof of Claim Form | Bankruptcy In The United States | Debt from imgv2-2-f.scribdassets.com
When must you file the proof of debt? The company emailed a letter and the pod form to customers. Sample proof of debt general form malaysia. Creditor details i, state that as at the date of bankruptcy, debt repayment order or liquidation order the debtor was indebted to the above named creditor for the sum of: No filing fee will be payable for any claim of debt not exceeding hkd250.00 or for employees' claim. Debt collection in malaysia is the procedure of demanding undue payments for services or products offered to clients. Employees may submit a proof of debt form to the liquidator to claim the amount due if there is surplus from the estate of the company to cover the employees' salary. If not, they'll attach a guide such as this or this.

(rule 91 companies (winding up) rules 1972)

If not, they'll attach a guide such as this or this. Politeknik ungku omar courses politeknik konvensional metro politeknik contoh penghargaan latihan industri piramid makanan dalam bahasa arab plot batang dan daun piramid makanan seimbang untuk kanak kanak plastic waste statistics in malaysia pointer ijazah kelas pertama. (b) that i am duly authorized, under the seal of the company hereinafter named to make proof of debt on its behalf. Under the insolvency, restructuring and dissolution act regulations, the type of proof of debt form that a creditor may have to fill in depends on the type of winding up a company is going through. Description of how to fill in proof of debt form malaysia. Employees may submit a proof of debt form to the liquidator to claim the amount due if there is surplus from the estate of the company to cover the employees' salary. (rule 91 companies (winding up) rules 1972) (a) that i am in the. A formal proof of debt form. A proof of debt ) in accordance with rule 152. Webmaster at mdi dot gov dot my The airasia x berhad's debt restructuring plan notice to creditors for proof of debt is a debt restructuring scheme. Affidavit (the debt) was incurred and for the consideration stated, and to the best of my knowledge and belief the debt still remains unpaid and unsatisfied.

Employees may submit a proof of debt form to the liquidator to claim the amount due if there is surplus from the estate of the company to cover the employees' salary. The company emailed a letter and the pod form to customers. Under the insolvency, restructuring and dissolution act regulations, the type of proof of debt form that a creditor may have to fill in depends on the type of winding up a company is going through. Further information on the interim distribution can be found on the website. 26 07 2010 8 37 am hi ka long you are supposed to get the dept of proof form signed in front of a commissioner of oath and this commisioner of oath will then sign and chop the form.

Sample Proof Of Debt Form Malaysia
Sample Proof Of Debt Form Malaysia from www.pdffiller.com
Affidavit (the debt) was incurred and for the consideration stated, and to the best of my knowledge and belief the debt still remains unpaid and unsatisfied. Creditor details i, state that as at the date of bankruptcy, debt repayment order or liquidation order the debtor was indebted to the above named creditor for the sum of: Description of how to fill in proof of debt form malaysia. Sample proof of debt general form malaysia. Usually, when a company sends a proof of debt form, they'll usually include information on what to fill in the document itself. We hope this will makes you understand more about airasia x proof of debt form. For more information and source, see on this link : (a) that i am in the.

Description of how to fill in proof of debt form malaysia.

(a) that i am in the. Claim form (proof of debt) for use in bankruptcies, debt repayment orders and liquidations. Employees may submit a proof of debt form to the liquidator to claim the amount due if there is surplus from the estate of the company to cover the employees' salary. When must you file the proof of debt? So for a document to be accepted in court it must be attest by a commissioner for oath (persuruhjaya sumpah malaysia) or a notary public if the person is based outside of malaysia and this a court of law requirement. Webmaster at mdi dot gov dot my Proof of debt (form 77) (doc, 65kb) unclaimed monies payable to companies liquidation account (form 76) (46kb) account of receipts and payments and statement of position in the winding up (18kb) statement of affairs for compulsory winding up matters In short, it means that now airasia x allows their passengers to claim refunds. (b) that i am duly authorized, under the seal of the company hereinafter named to make proof of debt on its behalf. Hi ka long, you are supposed to get the dept of proof form signed in front of a commissioner of oath and this commisioner of oath will then sign and chop the form. Creditor details i, state that as at the date of bankruptcy, debt repayment order or liquidation order the debtor was indebted to the above named creditor for the sum of: Under the insolvency, restructuring and dissolution act regulations, the type of proof of debt form that a creditor may have to fill in depends on the type of winding up a company is going through. A debt may be proved in a compulsory winding up by delivering or sending through the post to the official receiver this proof of debt form and accompanied by a filing fee of hkd35.00.

Related : Proof Of Debt Form Malaysia : Top 11 Proof Of Debt Form Templates free to download in ... : (rule 91 companies (winding up) rules 1972).